

甲卡西酮检测试纸
摘要: 甲卡西酮类策划药物是近年出现的新型毒品,国内经常称之为毒品“筋”、“浴盐”、“喵喵”,在世界范围内已经形成滥用趋势。在介绍甲卡西酮类策划毒品的结构、性质及作用的基础上,对于其滥用现状、危害性和检测方进行了综述,以期对建立复杂生物检材中痕量甲卡西酮类策划毒品的高灵敏检测方法有所助益,对研究甲卡西酮类毒品的毒性作用、体内代谢过程及戒断机制提供参考和依据。
1 引言
甲卡西酮类策划药物(new designer drugs, NDD)是近年出现的新型毒品,在国际上已形成滥用趋势。由于该类策划毒品流行时间短、范围大,相关研究和控制措施如NDD 的体内过程及检测标准化仍在探讨中,如何快速准确检测案件中的新型策划毒品,研究其毒性作用、体内过程和戒断机制,成为分析化学、法医学和毒物学的共同任务。这些研究结果可为涉毒案件侦破提供范围和方向,为客观公正地做好法医鉴定提供参考和依据,为解决禁吸戒毒难题提供理论基础。
2 甲卡西酮类新型策划毒品的结构、性质及作用
甲卡西酮类策划药主要为化学合成产物,包括甲卡西酮(methcathinone ,MC) 、4 - 甲基甲卡西酮(4-methylmethcathinone, MMC)、4-甲氧基甲卡西酮(4-methoxymethcathinone, MeOMC)、3- 氟甲基甲卡西酮(3-fluoromethcathinone, 3-FMC),4-氟甲基甲卡西酮(4-fluoromethcathinone, 4-FMC)、2-甲氨基-1-(3,4 亚甲基二氧基) 苯丙酮(methylone,bk-MDMA)等,其结构见图1。分子内有一个手性中心,具有R、S两种构型的对映异构体;该类策划药的盐酸盐一般是白色晶体或粉末,其碱是微黄色的液体,由于合成反应及途径不同具有香草、鱼腥、漂白粉等特殊气味。市售毒品大多以稳定性好、水溶性强的盐酸盐晶体或粉末状态贩卖交易, 有时也会被制成各种颜色的片剂和胶囊。
从甲卡西酮类策划药的分子结构可见,其与苯丙胺类兴奋剂的结构相似,具有强烈的中枢神经兴奋作用,且S 型较R 型更有效。甲卡西酮类策划药的作用机制以4-甲基甲卡西酮研究较多,认为其与单胺类神经递质的刺激、释放、抑制和再摄取有关。瑞典医学杂志Lakartidningen 报道4-甲基甲卡西酮和可卡因、甲基苯丙胺联用可引起心血管疾病,和甲基苯丙胺、致幻剂LSD 联用引起复合胺综合症;动物实验证明甲卡西酮的两个对映体对大鼠的多巴胺神经元有毒性,S-对映体对复合胺神经元有毒性,甲卡西酮类毒品的分子比甲基苯丙胺类毒品的分子更亲水,更难通过血脑屏障,故要达到同等效果需要更高的剂量。毒品滥用者经口服、静脉注射、鼻吸、直肠给药等途径摄入,初时产生欣快、自信增加、精力旺盛、狂躁等症状,后发展到抑郁心境、嗜睡、流鼻血等,伴有妄想、幻觉、焦虑、震动、失眠、营养不良、体重减轻、脱水、出汗、腹痛、恶心、呕吐、全身疼痛等副作用,长期滥用会产生依赖而成瘾,导致一系列生理、心理损害甚至死亡。
3 甲卡西酮类新型策划毒品的滥用现状及危害
甲卡西酮类新型策划毒品的滥用不仅对人的生理和心理造成危害,而且影响社会稳定和公共安全。据报道,美国警方曾击毙迈阿密一名男子,原因是该男子在高速公路上攻击一名流浪汉,啃掉其近80%的脸部皮肉,调查发现该疯狂男子事发前曾吸食甲卡西酮。甲卡西酮易于合成,在50 ~ 60℃的温和反应条件下,用高锰酸钾、重铬酸钠、次氯酸钠等氧化剂氧化麻黄碱即可制得首次合成甲卡西酮和4-甲基甲卡西酮,20 世纪30~40 年代前苏联曾将甲卡西酮作抗抑郁药物使用, 到20 世纪60 年代用于娱乐,20 世纪80~90 年代美国密歇根州、威斯康星州、印第安纳州、密苏里州和伊利诺伊州等发生甲卡西酮滥用现象。2003 年一些化学专业人士在地下实验室非法合成4-甲基甲卡西酮, 并作为策划药在以色列推出,在中东地区快速蔓延 并随后进入欧洲市场。2007 年,法国在摇头丸中首次检出4-甲基甲卡西酮,2009—2010 年,英国、瑞典、我国台湾地区相继出现滥用4-甲基甲卡西酮并造成死亡的案例,其中尤以英国为甚。日本媒体2012 年6 月7 日报道,新型毒品甲卡西酮在日本也呈泛滥趋势并导致数起伤人事件,研究表明甲基苯丙胺及结构相似的甲卡西酮类毒品有取代传统毒品海洛因、可卡因之势而成为21 世纪流行最广、危害最大的毒品。
目前, 甲卡西酮类策划毒品已在我国沿海及陕西、山西等地域泛滥。鉴于该类新型策划毒品的危害性和风靡全球的滥用现状,许多国家将其列为管制药物。以4-甲基甲卡西酮为例,2008 年以色列将其列为非法药物;2010 年4 月英国将其定为B 类管制药物;欧洲的德国、芬兰、丹麦、瑞典、罗马尼亚、克罗地亚、爱沙尼亚等国,大洋洲的澳大利亚、新西兰,美洲的加拿大、美国的新泽西及北达科他州等国家和地区相继将其列为管制药物;我国国家食品药品监督管理局、公安部、卫生部联合发布公告,自2010 年9 月1 日起,将4-甲基甲卡西酮列入第一类精神药品管理( 国食药监办315 号公告)。
4 甲卡西酮类新型策划毒品的代谢
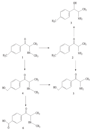
由于甲卡西酮类新型策划毒品的使用历史短,目前对于其体内过程的研究较少,主要集中在具有代表性的4-甲基甲卡西酮的代谢过程研究,一般通过气相色谱-质谱法检测大鼠和人尿液中的代谢物和原物,分析其代谢途径。实验发现4-甲基甲卡西酮的代谢物如图2 所示,4-甲基甲卡西酮的N-去甲基化产物胺(化合物2,3,5),β-酮羰基还原产物醇(化合物3),甲苯基氧化产物醇和酸等代谢物(4,5,6),此外,还检测到原药4-甲基甲卡西酮。推断4-甲基甲卡西酮在体内为Ⅰ相代谢反应(Phase Ⅰ),有3 种代谢途径:即N-去甲基化生成一级胺; 羰基还原成醇;甲苯基氧化成对应的醇和酸,其中酸的羧基可进一步与葡萄糖醛酸和硫酸衍生物结合。代谢物的立体异构研究显示,β-酮羰基还原形成的醇(化合物3)有2 个对应异构体。另外,图2 所示代谢物5 仅在人尿中检出,这反映了人与大鼠的代谢差异或是检测方法的灵敏性不够所致? 目前还不清楚,有待进一步研究。

图1 甲卡西酮类新型策划毒品的结构

图2 4-甲基甲卡西酮在鼠和人体中的Ⅰ相代谢反应
5 甲卡西酮类新型策划毒品的分析检测
新型策划毒品NDD 的分析检测一般采用色谱分离和质谱检测联用法和Adriaan等用气相色谱-质谱法(GC-MS)手性分离检测了卡西酮、苯丙胺等策划毒品,检测限达到1.5~6.3 ng/mL;Martin 等 通过对67 份毛发样品的检测研究,建立了GC-MS 法测定毛发中残留4-甲基甲卡西酮的方法,其灵敏度足以检测到从偶尔吸食到滥用者头发中残留的4-甲基甲卡西酮。Wimal 等 研究利用手性液相色谱-串联质谱法(LC-MS/MS)筛查甲卡西酮及其同系物的方法;Péter 等 用反相色谱柱分离甲卡西酮及其同系物,以水、乙腈、甲酸三元体系为流动相进行梯度洗脱,分离了混合粉末样品中的7 个甲卡西酮类同系物,并用质谱进行检测,优化条件下检测限达到2 ng/mL,方法成功应用于匈牙利海关等查获的几个零包未知粉末样品的分析,结果显示其中一个样品中含有新型策划毒品4-甲氧基加卡西酮,该方法也可用于片剂和胶囊的分析检测。Ira S. Lurie 详细研究利用毛细管电泳法(CE)检测违禁药品的方法,讨论了其分离分析高极性、热不稳定、非挥发性物质的优势,认为适于大多数违禁药品包括对映异构体的分离检测,并用毛细管胶束电动色谱(MECC)、毛细管区代电泳(CZE)、毛细管电色谱(CEC) 等三种电泳模式进行实验,分离检测不同类型的毒品,其中β-环糊精改性的毛细管区带电泳法(CZE)分离检测了甲卡西酮及结构类似物伪麻黄碱。我国台湾的LiauAn-Shu 等用β-环糊精改性的毛细管电泳法分离检测了尿液和药片中的甲卡西酮、甲基苯丙胺、麻黄碱和伪麻黄碱。
目前的分析检测方法也存在一些问题和难点,例如,GC-MS 方法中待检物的衍生化程序复杂、操作时间长;此外,气相色谱要求用有机提取剂进样,样品的净化-纯化过程需有机溶剂化;与GC-MS 比较,LC-MS法不仅以水溶性提取剂进样(更适于法庭毒品分析的尿液、血液等检材),而且免去了衍生化步骤,程序简便、应用范围宽,尤其是超高压液相色谱(Ultra highpressure liquid chromatography, UPLC)的应用将使之成为高选择、高灵敏、高效率的分析检测方法,但LC-MS 法的“基质效应”比较明显,即样品中的杂质直接或间接干扰待测物的信号响应,影响了检测的准确性和重现性,其原因在于由溶剂和待检物组成的非挥发性浓溶液阻碍了离子源区域的离子化过程,影响了后续的质谱检测。由于受基质干扰因素的影响,Wimal 等 研究的LC-MS/MS 检测甲卡西酮类毒品的方法,只用于大批量样品的筛查而不宜作为确证检验。毛细管电泳-质谱法(CE-MS )虽然基质干扰作用小(背景电解质受相同极性离子的排斥不易迁移进入离子源,即使有微量进入离子源,也立即会被鞘流稀释), 但CE 法的进样量小, 要检测尿液、血液、毛发、肌体组织等复杂生物样品中的痕量毒品,必须借助场放大样品堆积技术、扫集技术等方法和手段提高检测灵敏度,增加了检测的复杂性和难度。
生物检材中的原药含量低,代谢后原物及代谢产物含量更低,毒品及其代谢产物的提取和富集技术成为提高检测准确度和灵敏度的重要条件。邸玉敏等应用固相萃取技术进行了苯丙胺类毒品的提取和分析,张小婷等用SCX3cc 固相萃取小柱及优化的三元洗脱液萃取苯丙胺类毒品,检出某宾馆涉毒案件人员血液中的毒品。本课题组2003 年研究了化学震荡法检测毒品的方法,2009 年应用毛细管电泳法和场放大样品堆集技术提高灵敏度, 检测了痕量兴奋剂,建立了常规堆集-胶束电动毛细管电泳法分离检测甲基苯丙胺及其代谢产物的方法,检出限分别达到3.13 ng/mL 和3.54 ng/mL。而另一种针对微量样品痕量组分的提取方法也值得重视,即应用分子印迹固相微萃取(Molecularly imprinted solid phase microextraction,MISPME)技术,建立提取率高、选择性好、特异性强的NDD 提取方法,既使大量基质与待检物分离,又实现原药及其代谢产物的富集,在解决基质干扰问题的基础上,利用高效液相色谱与质谱检测的联用优势,可成为建立痕量新型策划毒品高灵敏检测方法的一种途径。
 
                         
            
文章评论